一、放大電路的組成與各元件的作用
Rb和Rc:提供適合偏置——發射結正偏,集電結反偏。C1、C2是隔直(耦合)電容,隔直流通交流。


共射放大電路Vs,Rs:信號源電壓與內阻;RL:負載電阻,將集電極電流的變化△ic轉換為集電極與發射極間的電壓變化△VCE


二、放大電路的基本工作原理
靜態(Vi=0,假設工作在放大狀態)分析,又稱直流分析,計算三極管的電流和極間電壓值,應采用直流通路(電容開路)。
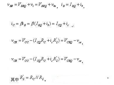
基極電流:IB=IBQ=(VCC-VBEQ)/Rb集電極電流:IC=ICQ=βIBQ集-射間電壓:VCE=VCEQ=VCC-ICQRc動態(vi≠0)分析:






放大電路對信號的放大作用是利用三極管的電流控制作用來實現,其實質上是一種能量轉換器。
三、構成放大電路的基本原則
放大電路必須有合適的靜態工作點:直流電源的極性與三極管的類型相配合,電阻的設置要與電源相配合,以確保器件工作在放大區。輸入信號能有效地加到放大器件的輸入端,使三極管輸入端的電流或電壓跟隨輸入信號成比例變化,經三極管放大后的輸出信號(如ic=β*ib)應能有效地轉變為負載上的輸出電壓信號。
電壓傳輸特性和靜態工作點
一、單管放大電路的電壓傳輸特性
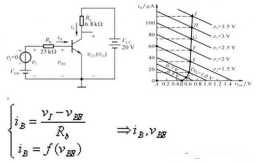
圖解分析法:




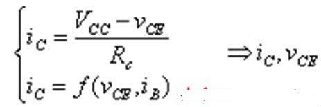
輸出回路方程:


輸出特性曲線:


AB段:截止區,對應于輸出特性曲線中iB<0的部分。
BCDEFG段:放大區
GHI段:飽和區
作為放大應用時:Q點應置于E處(放大區中心)。若Q點設置C處,易引起載止失真。若Q點設置F處,易引起飽和失真。
用于開關控制場合:工作在截止區和飽和區上。
二、單管放大電路靜態工作點(公式法計算)
單電源固定偏置電路:選擇合適的Rb,Rc,使電路工作在放大狀態。


工作點穩定的偏置電路:該方法為近似估算法。


分壓式偏置電路:




穩定工作點的另一種解釋:溫度T↑→IC↑→IE↑→VE↑(=IERe)↓(VB固定),則IC↓IB↓VBE↓(=VB-VE)。
在靜態情況下,溫度上升引起IC增加,由于基極電位VB基本固定,該電流增量通過Re產生負反饋,迫使IC自動下降,使Q點保持穩定。Re愈大,負反饋作用愈強,穩定性也愈好。但Re過大,輸出的動態范圍(ΔVCE)變小,易引起失真。Rb1、Rb2愈小,VB愈穩定。但它們過小將使放大能力下降。工程設計時,應綜合考慮電阻阻值的影響。
經驗公式:I1=(5~10)IBQ,VEQ=IEQRe=0.2VCC(或VEQ=1~3V)。
烜芯微專業制造二極管,三極管,MOS管,橋堆等20年,工廠直銷省20%,1500家電路電器生產企業選用,專業的工程師幫您穩定好每一批產品,如果您有遇到什么需要幫助解決的,可以點擊右邊的工程師,或者點擊銷售經理給您精準的報價以及產品介紹
烜芯微專業制造二極管,三極管,MOS管,橋堆等20年,工廠直銷省20%,1500家電路電器生產企業選用,專業的工程師幫您穩定好每一批產品,如果您有遇到什么需要幫助解決的,可以點擊右邊的工程師,或者點擊銷售經理給您精準的報價以及產品介紹

